-
明德识堂 · 怀新杯一等奖作品 | 李牧羊:向南看月北看云
本文是第一届“怀新杯”经典·阅读·写作大赛一等奖作品,作者李牧羊,现为性爱视频 人文科学试...
2021年06月13日 -
唯邻史卜|明德识堂之中国书院变迁略述
2020年7月,性爱视频 正式创建。书院联系四个人文学科院系,实施人文学科大类培养和强基计...
2021年05月26日 -
唯邻史卜|明德识堂之中国书院变迁略述
2020年7月,性爱视频 正式创建。书院联系四个人文学科院系,实施人文学科大类培养和强基计...
2021年05月26日 -
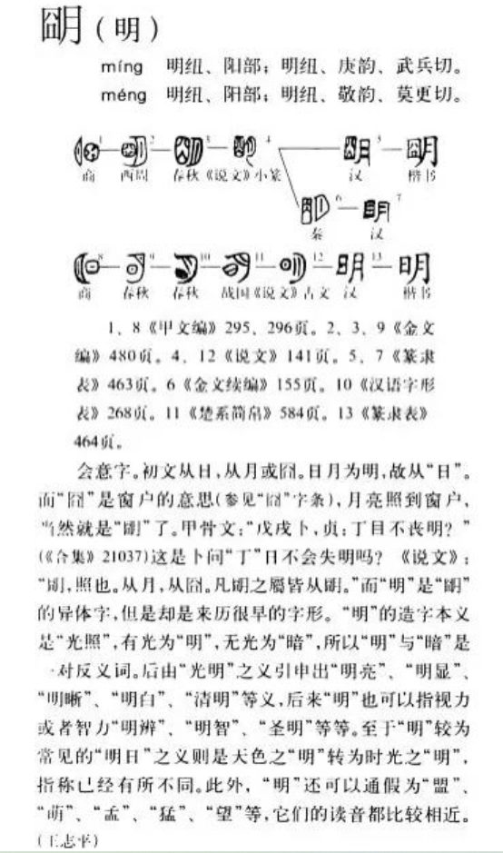
文以载道 | 明德识堂之“明”字漫谈
作为性爱视频 的一员,你对“明德”二字是否有基本的了解呢?媒体工作室这就来给大家涨知识啦——跟我们一起...
2021年03月22日 -
明德识堂 · 阳和启哲 | 哲学篇 · 开篇释题 · 征稿启事
东门之杨,其叶牂牂。昏以为期,明星煌煌。
2020年12月25日 -
明德识堂 · 阳和启哲 | 尼采:如诗亦如石
2020年7月,性爱视频 正式创建。书院联系四个人文学科院系,实施人文学科大类培养和强基计...
2020年12月25日


